來源:《中國文物科學研究》2019年 第2期
作者:雷淑 四川博物館
提要:以四川博物院珍貴文物預防性保護項目的展柜微環境改造為例,采用T檢驗、離散度等分析方法,對比光照、相對濕度和污染物濃度變化情況,闡述展柜改造后對文物保存微環境的實際調控效果。研究結果表明,展柜微環境改造達到了預期目標,既為文物創造了相對“穩定、潔凈”保存環境,又為博物館有針對性地開展文物保存環境調控與治理提供參考。
關鍵詞:展柜微環境;調控效果;光照;相對濕度;污染物濃度
一、引言
一直以來,文物直接接觸的微環境“穩定、潔凈”與否,是關乎其長期保存的重要因素,而光照、溫度、相對濕度、污染氣體等潛在的環境因素,則是文物損壞劣變的主要原因。由于展陳和保存空間的相對封閉,空氣流動性較弱,加上文物自身老化降解的影響,這些環境因素對文物造成的損失,遠遠大于失竊或不可抗拒自然因素造成的損失,特別是一些經過搶救性保護修復的文物,必須保存在適宜的環境中,才能防止其繼續劣化變質,這已經成為館藏文物預防性保護工作中迫切需要解決的問題。四川博物院借助“館藏珍貴文物預防性保護項目建設”這個契機,在實時監測文物保存環境狀況的基礎上,通過展柜的升級改造,從展柜微環境入手進行較為徹底的功能改善,為今后博物館有針對性地開展文物保存環境調控與治理提供參考。
二、展柜微環境改造
1.改造前
四川博物院新館是一棟現代建筑,整體采用天井式結構。展廳內主要混合了四種光源:石英射燈、金屬鹵素燈、LED燈和普通日光燈,文物展柜內主要采用的是普通日光燈。展廳的溫濕度采用集中空調和恒溫恒濕空調兩種裝置進行調控,并且空調的使用通常在開館期間運行,每天上下班開關空調。根據文物保存環境的監測數據可知,部分展廳和展柜內存在照度偏高、光照不均勻、溫濕度波動較大、污染物濃度偏高等現象。雖然有些展柜配備了恒溫恒濕空調,但由于不能保證空調的24小時連續運行,人為地加大了溫濕度的日波動幅度。多數展柜密閉性很差,且柜內并未配置有效的調控設備和調控材料,導致展柜內的溫濕度波動受室外大環境影響較大,對文物展陳特別是脆弱質文物的展陳極為不利。
2.改造方案
為優先改善脆弱質文物的保存環境,四川博物院針對具代表性的有機質文物展廳進行展柜微環境升級改造。主要包括:①將展柜內的普通日光燈更換為無紫外LED智能感應燈,降低文物的年累計曝光量,改善照度及照度均勻度。②對展柜密閉性進行改造后,通過主動調控(配置凈化調濕機)和被動調控(放置調濕劑)相結合的方式,對展柜的相對濕度進行調控。③對展柜板材進行鋁塑膜包覆并更換展臺蒙布后,減少板材所散發的污染物,同時配合放置一定量的吸附劑(Shin8),降低展柜內的污染物濃度,提升文物保存環境質量。
三、分析對象及方法
1.光照
(1)照度檢測
本次光照變化檢測以書畫館的三個展柜為例,旨在分析改造前后的實際效果。依據《館藏文物保存環境質量檢測技術規范》(WW/T 0016-2008)1,采用臺灣泰仕TES一1339專業級照度計,對三個展柜改造前后的照度進行檢測。儀器的測量范圍:0.01~999900 lx(精度±3%),分辨率0.01 lx。如圖1所示,在每個展柜中從掛畫軸自上而下,等距離選取A、B、C、D、E、F、G、H、I九個檢測點,除檢測點I的受光面朝上外,其他檢測點的受光面均朝前,與文物的主要受光面平行。

圖1.展柜照度檢測示意圖
(2)分析方法
根據《建筑照明設計標準》(GB50034—2013)2要求,按照檢測點表面的最小照度與平均照度之比計算照度均勻度,再結合Excel數據統計方法T檢驗3,以P<0.05為顯著性差異,對燈光改造前后光照變化的顯著性效果進行分析評價。
Excel擁有強大的統計計算功能,而且通用性廣,操作簡單。Excel數據分析工具中的“T檢驗:平均值的成對二樣本分析”,就是對兩組配對數據進行均值是否相等的檢驗。采用Excel錄入數據,打開工作表,在“文件”的“選項”下,選擇“加載項”,點擊“Excel加載項”的“轉到”,選中彈框的“分析工具庫”,單擊“確定”為Excel安裝分析工具庫后,就能在Excel菜單欄“數據”下選擇“數據分析”進行統計分析。
2.相對濕度
(1)相對濕度監測
由于改造后未做專業性的密閉性檢測,故選取三個大小相同且半年的溫濕度監測數據基本一致的展柜(12m3)進行實驗,其中兩個展柜內分別安裝重慶聲光電定制的24小時連續運行SwT凈化調濕一體機和放置上海博物館監制的復合硅膠調濕劑35盒(博環HZ—RH55一X,400g/盒),對比主被動兩種調控措施的實際調控效果,另一個展柜不采取任何調控措施進行對比實驗,通過無線溫濕度監測終端(SWJ—T/H1—1.1),實時監測展柜及展廳內的溫濕度變化情況。凈化調濕機的濕度調控范圍30%~70%RH,調控精度±2%RH;調濕劑具有吸放濕功能,適合調控范圍30%一70%RH;溫濕度監測終端的溫度測量范圍:一30~70℃(精度±0.3cC),相對濕度的測量范圍:0~98%RH(精度±2%RH),數據存儲量為一百萬組,設置監測間隔時間為10分鐘。
(2)分析方法
由于溫度是影響相對濕度的主要因素之一,綜合考慮四川博物院所在地的氣候和空調系統的使用狀況,選取4-10月的溫濕度監測數據進行分析,并以20℃±5℃和50%±5%作為本次環境溫濕度的目標值。通過計算各監測點離散度和離散系數的方法4,評估兩種調控措施的實際效果。當溫濕度的離散度小于7.07,便視為溫濕度適宜。離散系數越小則越穩定,離散系數越大則越不穩定。
3.污染物濃度
(1)污染物檢測
采用英國PPM HTV便攜式甲醛測試儀、美國華瑞ppbRAE3000VOC檢測儀,分別檢測展柜中甲醛、揮發性有機物(VOC)的濃度。采用無動力擴散“被動采樣一儀器分析”的方法5,在檢測點放置無動力擴散采樣器現場采樣后,委托上海博物館將樣品帶回實驗室進行甲酸、乙酸的濃度分析。為了進一步評估文物保存環境吸附劑(Shm8)對污染物的調控效果,選擇具有代表性的文物展柜作為測量點,放置重慶聲光電生產的室內型空氣質量監測終端QCM(SWJ—OIS一1.1),實時監測有機污染物、無機污染物和硫化污染物,經過一段時間后沉積固化到傳感器上的情況。甲醛檢測儀的測量范圍0.00~10.00ppm(精度±2%),分辨率0.01ppm;VOC檢測儀的測量范圍lppb~10000ppm(精度±3%),分辨率lppb;QCM的污染物傳感器采用9MHz晶體,輸出信號頻率范圍7~13MHz,分辨率1Hz,設置監測間隔時間為15分鐘。
(2)分析方法
為了準確地判斷各類污染物的等級范圍,首先對室內型空氣質量監測終端QCM的監測數據進行預處理,剔除溫度、相對濕度的影響,再根據Sauerbrey公式(1)對擬合處理后的數據進行計算6。
Δf=一2.26x10-13f2Δm/A(1)
式(1)中:Δf為傳感器晶體諧振頻率的變化值,f為晶體的固有諧振頻率,又叫作基頻率(Hz),Δm/A為單位面積晶振片質量的增加量(mg/m2)。
另以30日為累積周期,根據式(2)計算有機污染物、無機污染物和硫化污染物三類污染物沉積固化到傳感器上的累積當量(mg/m2),從而得出環境空氣質量等級7-9。

四、結果與分析
1.光照變化
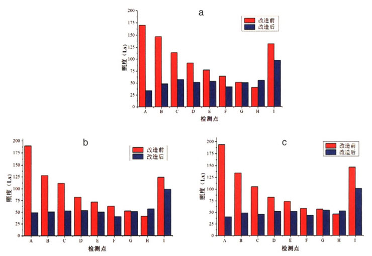
由表1和圖2可知,展柜改造前,A~H檢測點照度均從上至下呈現逐漸降低的趨勢,最高值達193.9 lx,且每個展柜的照度最高值是最低值的4倍多,光照強度極不均勻,容易造成文物褪色不均勻的現象,而展柜下部照度值太低,也不利于觀眾的視覺觀察。展柜改造后,除底部受光面朝上的檢測點I外,其余檢測點的照度都在50 lx左右,并且照度均勻度都有所提高,符合《博物館照明設計規范》(GB/T 23863—2009)10的相關要求。
表1展柜改造前后照度檢測結果

圖2.展柜改造前后照度變化
(a.展柜1照度檢測;b.展柜2的照度檢測;c.展柜3的照度檢測)
為評價書畫類文物的主要受光面,在展柜改造前后的改善效果是否具有顯著性,我們選取了每個展柜中受光面朝前的八個檢測點(A~H),采用統計學T檢驗進行分析。T檢驗是針對符合正態分布資料進行差異比較的統計學方法,故首先運用SPSS軟件對改造前后的照度數據分別進行正態性檢驗11-12。如表2所示,以w檢驗為判斷標準,檢測的六組照度數據均為正態分布(sig.>0.05),符合統計學T檢驗的基本要求,因此采用T檢驗具可信性的統計學意義。在Excel下,進行“T檢驗:平均值的成對二樣本分析”,三個展柜的T檢驗值(t Stat)>t雙尾臨界值,且雙尾P值<0.05,從而認為升級改造對展柜的照度具有顯著性改善,不僅有利于保護對光照特別敏感的文物,而且展陳的視覺效果也有所提升。
表2照度的正態性和T檢驗

2.相對濕度
在4~10月期間,對同一展廳的展柜采取兩種不同的調控措施,觀察相對濕度的對比曲線。如圖3所示,采用凈化調濕機進行主動調控的展柜內(圖3,c),相對濕度在調控目標值(50%)范圍內比較平穩,而無調濕機的展柜內(圖3,b),雖然密閉空間對濕度具有維持作用,使其較展廳內(圖3,a)更低,但相對濕度的變化趨勢與展廳內基本一致,波動范圍在40%~80%之間,主要受到來自大氣環境和展廳空調的共同作用。采用調濕劑進行被動調控的展柜內,由圖4右上角的局部放大圖可知,從7月份放入調濕劑后,展柜的相對濕度明顯降低,其波動范圍在60%~70%之間,但受展柜密閉性及調濕劑性能的影響,一段時間后,有調濕劑的展柜(圖4,e)和無調濕劑的展柜(圖4,b),相對濕度的變化規律逐漸趨于一致,但總體而言,有調濕劑的展柜內相對濕度更加平穩。

圖3.安裝調濕機展柜的濕度監測

圖4.放置調濕劑展柜的濕度監測
計算各監測點溫濕度數據的離散度和離散系數,如表3所示,有凈化調濕機的展柜內溫濕度離散度為5.07,小于目標值7.07,符合溫濕度“穩定適宜”的標準。各監測點的溫度離散系數基本一致,而相對濕度的離散系數排序則與基于目標值的溫濕度離散度排序完全相同,依次為:有凈化調濕機的展柜<有調濕劑的展柜<展廳<無調控的展柜。因此,溫濕度的穩定性受濕度的影響較大,未采取任何調控措施的展柜與展廳環境的濕度情況基本一致,放置調濕劑雖對展柜的相對濕度有所改善,但仍然不符合標準,相對而言凈化調濕機若能確保24小時連續運行,則效果更佳。
表3基于目標值的溫濕度離散度及離散系數
3.污染物濃度
如表4所示,經過改造后,甲醛、揮發性有機物VOC、甲酸、乙酸四類污染物的濃度明顯降低,展柜微環境的空氣質量有所提高。

圖5.展柜內污染物監測
(a.有機污染物;b.無機污染物;c.硫化污染物)
由于展柜微環境空間相對密閉,若未時常進行換氣處理,文物自身降解散發的污染物以及樟腦丸、殺蟲劑等揮發性物質會在密閉空間中聚集。為此,我們在其中一個展柜內放置一定量的吸附劑進行微環境調控,并采用室內空氣質量監測終端QCM,實時監測有機污染物、無機污染物和硫化污染物三類污染物的濃度(圖5),通過計算后綜合評價文物保存微環境的空氣質量等級。由表5可知,展柜內甲醛、VOC濃度均有所下降,并且有機污染物、無機污染物和硫化污染物的環境空氣質量等級均為潔凈。
表4展柜改造前后污染物濃度檢測結果
表5展柜放置吸附劑前后的污染物濃度及環境空氣質量
五、結論及建議
對比四川博物院展柜微環境改造前后光照、相對濕度和污染物濃度的變化情況,達到了為文物創造相對“穩定、潔凈”保存環境的預期目標。據此,提出以下建議:
第一,為了給文物照度調控提供科學的數據支撐,在放置光照監測設備時,最好讓感應探頭與文物主要受光面平行,盡量不要位于檢測點A(展柜上部)和檢測點I(展柜底部),避免無法有效感知文物的真實照度,燈光改造盡量采用照度可調的燈光系統,以適應不同材質文物的保護和展示需要。
第二,文物展柜的密閉性是決定其調控效果的關鍵因素,針對不同的調控需求選取適當的調控措施,對展柜的選購除必要的安全防范外,也要注意調濕功能。
第三,加強對展廳、展柜的換氣處理,并對展陳裝修材料開展環境影響評價,選用檢測合格的無污染材料,從源頭上控制污染物的產生,有效提升文物保存微環境空氣質量。
注 釋
1.WW/T0016—2008,館藏文物保存環境質量檢測技術規范[s].
2.GB50034—2013,建筑照明設計標準[S],
3.胡榮華,管于華.EXCEL在假設檢驗中的應用[J1.江蘇統計.2002(08):40-41.
4.馮萍莉,雷淑.基于離散程度的博物館館藏環境溫濕度中長期評估方法[J].文物保護與考古科學,2016,28(02):85-91.
5.同1.
6.姜心雨,閆瑩.顧雍,等.C_6mimCl/QCM傳感器對有機酸性氣體的監測[J].華東理工大學學報(自然科學版).2013,39(04):457460+487.
7.ANSI/ISA-71.04-2013.Environmental Conditions for Process Measurementand Control Systems:Airborne Contaminants[S].
8.Chris Muller.Air-Quality Standards for Preservation Environments Considerations for Monitoring and Classification of Gaseous Pollutants[C].The21st Annual IAMFA Conference.2010-2011:11.
9.解玉林,顧旭.博物館、檔案館、圖書館被保護環境中氣態污染物的監測和分級[J].文物保護與考古科學,2002($I):218-227.10.GB/T 23863-2009,博物館照明設計規范[S].
11.董秀明.配對t檢驗--5成組t檢驗優選方法研究[J].數理醫藥學雜志,2010,23(01):11-14.
12.劉慶武,胡志艷.如何用SPSS、SAS統計軟件進行正態性檢驗[J].湘南學院學報,2005(03):56-58.



